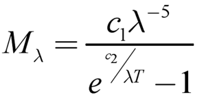
提到红外热像仪测温波长,就不能不提黑体辐射定律。黑体能吸收所有波长的辐射能量,没有能量的反射和透过。自然界中并不存在真正的黑体,它是辐射体理想化的表示,表面发射率为1。在理论研究中为了弄清和获得红外辐射的分布规律必须选择合适的模型,于是普朗克提出了基于腔体辐射的量子化振子模型,被称为普朗克黑体辐射定律,简称黑体辐射定律。这是一切红外辐射理论的出发点,黑体的光谱辐射度Mλ可以用波长表示。

式中
c1——第一辐射常数;
c2——第二辐射常数;
λ——光谱辐射的波长μm;
T——黑体的绝对温度K

图为红外热像仪的红外热像图
红外热像仪测温波长范围是0.76μm~1000μm。自目标发射出来的红外辐射需要在大气中传播一段距离才能到达探测仪器,在这过程中除了辐射本身的几何发散外,红外辐射在大气中传播也会受到衰减。组成大气的气体包括氧气、氮气、氩气,它们占99%以上,但它们不吸收15μm以下的红外线,否则红外热像仪在野外根本没法使用。对红外辐射具有主要吸收作用的气体是水汽、二氧化碳和臭氧(O3),加上甲烷、一氧化碳等的吸收作用,造成了红外辐射的衰减,在不同波段形成了红外线吸收带。把1μm~15μm的红外辐射通过一海里长度的大气透射比实验,发现只有处于红外吸收带之间的红外辐射才能够透过大气向远处传输,其中有三个透过大气的红外热像仪测温波长段,1~3μm,3~5μm,8~14μm,这三个波段称为“大气窗口”,红外热像仪常常工作在这三个大气窗口。3~5μm,8~14μm分别称为“短波”和“长波”窗口。这两个窗口对红外辐射均敏感,但两个波段范围特性不同,长波窗口主要用于低温及远距离的测温;而短波窗口能在较宽的范围内提供最佳功能,达到良好的测温要求。