科学研究—提高非制冷红外热像仪测温精度的方法
非制冷红外热像仪具有许多明显的优势,例如非接触式测量、无损坏、温度范围宽、测量结果图像化、低功耗以及良好的便携性。近几年,红外热像仪已受到越来越多的关注,成为了最广泛的红外温度测量仪器之一。但是,由于探测器温度变化的严重影响,其测量精度可进行进一步提升。非制冷式红外热像仪温度测量精度的提高对应用领域的发展具有重要意义。
为了提高非制冷红外热像仪的温度测量精度,目前已经进行了大量研究。在本研究中,通过消除温度测量结果上红外热像仪的内部辐射,收集标准黑体红外数据,建立红外图像像素值—黑体温度—环境温度和热像仪温度变量之间的关系,可以进一步提高精度,进而准确测量被测物体表面的绝对温度。

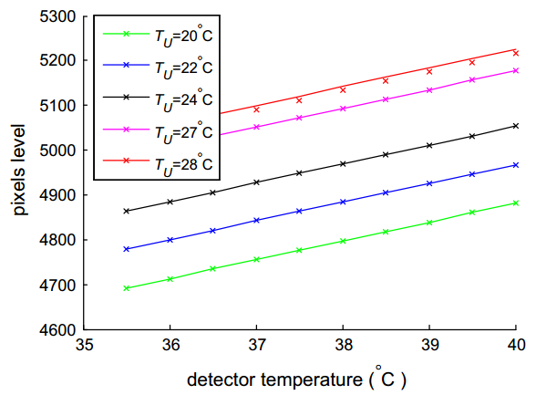
图为不同温度下像素值与检测器温度之间的关系。
具体为针对热像仪内部辐射的影响,使用中低温黑体炉进行实验,提出了一种基于电压补偿的方法。首先,结合非制冷红外热像仪的原理,将被测物体的辐射转换为电压值,将电压值转换为灰度值,从而建立被测物体的辐射与灰度值之间的关系。其次,根据辐射量与灰度值之间的关系,建立了非制冷红外热像仪温度测量模型。给出了计算物体真实表面温度的公式。通过收集标准黑体的红外图像数据,可以在温度测量公式中获取系数(详细理论可参考文章末尾的文献)。最后,为验证补偿方法的正确性,进行黑体实验。
根据实验表明,非制冷红外热像仪测量温度的最大误差为1.1℃,平均误差为0.61℃,最大相对误差为4.0%。通过使用校正公式校正后显示,非制冷红外热像仪测量温度的最大误差为0.4℃,平均误差为0.27℃,最大相对误差为2.0%。结果表明,校正后最大误差和相对误差大大减小,该方法有效,误差控制在0.4℃以内,满足精度要求。该研究为在精确温度测量领域开发红外热像仪奠定了基础。
参考资料:
Yu-cun Zhang, Yi-ming Chen, Cheng Luo. A method for improving temperature measurement precision on the uncooled infrared thermal imager. Measurement. 74:64-69, 2015.